免费智能真题库 > 历年试卷 > 软件设计师 > 2019年下半年 软件设计师 上午试卷 综合知识
  第57题      
  知识点:   矩阵   数组
  关键词:   一维数组   数组        章/节:   计算机软件知识       

 
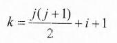
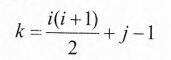
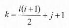
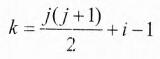
对于一个n阶的对称矩阵A,将其下三角区域(含主对角线)的元素按行存储在一维数组S中,设元素A[i][j]存放在S[K]中,且S[1]=A[0][0],则k与i、j (i≤j)的对应关系是(57)。
 
 
  A. 
 
  B. 
 
  C. 
 
  D. 
 
 
 

  相关试题:计算机软件知识          更多>  
 
  第56题    2014年上半年  
   57%
假定某企业2014年5月的员工工资如下表所示:

  第62题    2022年下半年  
   29%
折半查找在有序数组A中查找特定的记录K:通过比较K和数组中的中间元素A[mid]进行,如果相等,则算法结束∶如果K小于[Amid],则对..
  第26题    2010年下半年  
   41%
某磁盘磁头从一个磁道移至另一个磁道需要10ms。文件在磁盘上非连续存放,逻辑上相邻数据块的平均移动距离为10个磁道,每块的旋转..
   知识点讲解    
   · 矩阵    · 数组
 
       矩阵
               特殊矩阵
               若矩阵中元素(或非零元素)的分布有一定的规律,则称之为特殊矩阵。常见的特殊矩阵有对称矩阵、三角矩阵、对角矩阵等。
               对称矩阵:若矩阵An×n中的元素有
               aij=aji1≤i,jn
               则称之为n阶对称矩阵。
               上(下)三角矩阵:矩阵的上(下)三角(不包括对角线)中的元素均为常数或零。
               对角矩阵:矩阵中的非零元素都集中在以主对角线为中心的带状区域中,即除了主对角线上和在对角线上、下方若干条对角线上的元素外,其余的矩阵元素都为零。
               稀疏矩阵
               在一个矩阵中,若非零元素的个数远远少于零元素的个数,且非零元素的分布没有规律,则称之为稀疏矩阵。存储稀疏矩阵的非零元素时必须同时存储其位置(行、列号),用三元组(i,j,aij)可唯一确定矩阵中的一个元素。因此,一个稀疏矩阵可由表示非零元素的三元组及其行、列数唯一确定。
               稀疏矩阵的三元组表的顺序存储结构称为三元组顺序表,常用的三元组表的链式存储结构是十字链表。
 
       数组
               数组的定义及基本运算
               n维数组是一种"同构"的数据结构,其每个元素类型相同、结构一致。数组是定长线性表在维数上的扩张,即线性表中的元素又是一个线性表。
               数组结构的特点是:数据元素数目固定;数据元素具有相同的类型;数据元素的下标关系具有上下界的约束且下标有序。
               对数组进行的基本运算有以下两种。
               (1)给定一组下标,存取相应的数据元素。
               (2)给定一组下标,修改相应的数据元素中某个数据项的值。
               数组的顺序存储
               一旦定义了数组,结构中的数据元素个数和元素之间的关系就不再发生变动,因此数组适合于采用顺序存储结构。
               由于计算机的内存结构是一维线性的,因此存储多维数组时必须按照某种方式进行降维处理,即将数组元素排成一个线性序列,这就产生了次序约定问题。对二维数组有两种存储方式:一种是以列为主序的存储方式;另一种是以行为主序的存储方式。
               设每个数据元素占用L个单元,mn为数组的行数和列数,那么以行为主序优先存储的地址计算公式为
               Loc(aij)=Loc(a11)+((i-1)n+(j-1))L
               同样的,以列为主序优先存储的地址计算公式为
               Loc(aij)=Loc(a11)+((j-1)m+(i-1))L
   题号导航      2019年下半年 软件设计师 上午试卷 综合知识   本试卷我的完整做题情况  
1 /
2 /
3 /
4 /
5 /
6 /
7 /
8 /
9 /
10 /
11 /
12 /
13 /
14 /
15 /
 
16 /
17 /
18 /
19 /
20 /
21 /
22 /
23 /
24 /
25 /
26 /
27 /
28 /
29 /
30 /
 
31 /
32 /
33 /
34 /
35 /
36 /
37 /
38 /
39 /
40 /
41 /
42 /
43 /
44 /
45 /
 
46 /
47 /
48 /
49 /
50 /
51 /
52 /
53 /
54 /
55 /
56 /
57 /
58 /
59 /
60 /
 
61 /
62 /
63 /
64 /
65 /
66 /
67 /
68 /
69 /
70 /
71 /
72 /
73 /
74 /
75 /
 
第57题    在手机中做本题