免费智能真题库 > 历年试卷 > 软件设计师 > 2019年下半年 软件设计师 上午试卷 综合知识
  第2题      
  知识点:   计算机可靠性   可靠度   可靠性   系统的可靠性
  关键词:   可靠性   系统设计        章/节:   计算机硬件基础知识       

 
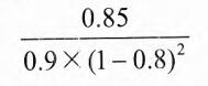
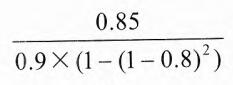
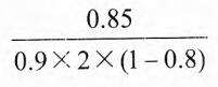
某系统的可靠性结构框图如下图所示,假设部件1、2、3的可靠度分别为0.90、0.80、0.80(部件2、3为冗余系统)。若要求该系统的可靠度不小于0.85,则进行系统设计时,部件4的可靠度至少应为(2)。
 
 
  A. 
 
  B. 
 
  C. 
 
  D. 
 
 
 

  相关试题:计算机硬件基础知识          更多>  
 
  第18题    2024年上半年  
   53%
某文件管理系统在磁盘上建立了位示图(bitmap),记录磁盘的使用情况。若计算机系统的字长为128位,磁盘的容量为1024 GB,物理块的..
  第4题    2019年下半年  
   41%
内存按字节编址,地址从A0000H到CFFFFH的内存,共存(4)字节,若用存储容量为64k×8bit的存储器芯片构成该内存空间,至少需要(..
  第31题    2025年上半年  
   0%
计算机系统中常用的输入/输出控制方式有无条件传送、中断、程序查询和 DMA方式等。当采用()方式时,不需要CPU 执行程序指令来传..
   知识点讲解    
   · 计算机可靠性    · 可靠度    · 可靠性    · 系统的可靠性
 
       计算机可靠性
               计算机可靠性概述
               计算机系统的硬件故障通常是由元器件的失效引起的。
               计算机系统的可靠性是指从它开始运行(t=0)到某个时刻t这段时间内能正常运行的概率,用R(t)表示。失效率是指单位时间内失效的元件数与元件总数的比例,用λ表示,当λ为常数时,可靠性与失效率的关系为R(t)=et
               两次故障之间系统能正常工作的时间的平均值称为平均无故障时间(MTBF),即MTBF=1/λ。
               通常用平均修复时间(MTRF)来表示计算机的可维修性,即计算机的维修效率,指从故障发生到机器修复平均所需要的时间。计算机的可用性是指计算机的使用效率,它以系统在执行任务的任意时刻能正常工作的概率A来表示,即
               
               计算机的RAS技术是指用可靠性R、可用性A和可维修性S这3个指标衡量一个计算机系统。但在实际应用中,引起计算机故障的原因除了元器件以外,还与组装工艺、逻辑设计等因素有关。
               计算机可靠性模型
               常见的计算机系统可靠性数学模型如下。
               (1)串联系统:可靠性R=R1R2RN,失效率λ=λ12+…+λN
               (2)并联系统:可靠性R=1-(1-R1)×(1-R2)×…×(1-RN),失效率
               (3)N模冗余系统:
               提高计算机的可靠性一般采取提高元器件质量、改进加工工艺与工艺结构、完善电路设计以及发展容错技术等措施。
 
       可靠度
        我们用来表示可靠性最为直接的方式就是可靠度,根据可靠性的定义,可靠度就是软件系统在规定的条件下,规定的时间内不发生失效的概率,如果用Ft)来表示到t时刻止,软件不出现失效的概率,则可靠度的公式为
        
        同样,我们知道R(0)=1,R(+∞)=0
 
       可靠性
        (1)完备性。完备性评价指标及测量,如下表所示。
        
        完备性评价指标及测量
        (2)连续性。连续性评价指标及测量,如下表所示。
        
        连续性评价指标及测量
        
        (3)稳定性。稳定性评价指标及测量,如下表所示。
        
        稳定性评价指标及测量
        (4)有效性。有效性评价指标及测量,如下表所示。
        
        有效性评价指标及测量
        (5)可追溯性。可追溯性评价指标及测量,如下表所示。
        
        可追溯性评价指标及测量
        
 
       系统的可靠性
        系统的可靠性是只保证系统正常工作的能力。这是对系统的基本要求,系统在工作时,应当对所有可能发生的情况都予以考虑,并采取适当的防范措施,提高系统的可靠性。系统的可靠性主要分系统硬件和软件的可靠性。衡量系统可靠性的重要指标是系统的平均故障间隔时间(Mean Time Between Failure, MTBF)和平均维护时间(Mean Time To Repair,MTTR)。前者指平均的系统前后两次发生故障的间隔时间,后者指发生故障后平均没修复所需要的时间。系统平均故障间隔时间越长,系统可靠性就越高;系统平均维护时间越短,则说明系统的可维护性就越高。
        要提高系统的可靠性需要从多个方面进行考察,采取多种相应的措施,可以选用可靠性较高的设备;在设计中尽可能地避免出错,在程序中设置各种检验措施,防止误操作和非法使用;采取软件和硬件的各种安全保障措施和操作,例如,对输入数据进行完整性检验,建立运行日志和审计跟踪,规定文件存取权限以及定期备份,等等。
   题号导航      2019年下半年 软件设计师 上午试卷 综合知识   本试卷我的完整做题情况  
1 /
2 /
3 /
4 /
5 /
6 /
7 /
8 /
9 /
10 /
11 /
12 /
13 /
14 /
15 /
 
16 /
17 /
18 /
19 /
20 /
21 /
22 /
23 /
24 /
25 /
26 /
27 /
28 /
29 /
30 /
 
31 /
32 /
33 /
34 /
35 /
36 /
37 /
38 /
39 /
40 /
41 /
42 /
43 /
44 /
45 /
 
46 /
47 /
48 /
49 /
50 /
51 /
52 /
53 /
54 /
55 /
56 /
57 /
58 /
59 /
60 /
 
61 /
62 /
63 /
64 /
65 /
66 /
67 /
68 /
69 /
70 /
71 /
72 /
73 /
74 /
75 /
 
第2题    在手机中做本题