免费智能真题库 > 历年试卷 > 软件设计师 > 2019年下半年 软件设计师 上午试卷 综合知识
  第59题      
  知识点:   树的定义及基本运算
  章/节:   计算机软件知识       

 
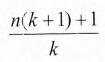
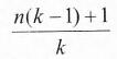
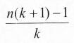
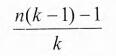
某树共有n个结点,其中所有分支结点的度为k(即每个非叶子结点的子树数目),则该树中叶子结点的个数为(59)。
 
 
  A. 
 
  B. 
 
  C. 
 
  D. 
 
 
 

  相关试题:计算机软件知识          更多>  
 
  第65题    2010年下半年  
   44%
(65)不能保证求得0-1背包问题的最优解。
  第49题    2016年上半年  
   30%
某确定的有限自动机(DFA)的状态转换图如下图所示(A是初态,C是终态),则该DFA能识别(49)。
  第56题    2020年下半年  
   43%
某企业信息系统采用分布式数据库系统。”当某一场地故障时,系统可以使用其他场地上的副本而不至于使整个系统瘫痪"称为分布式数据..
   知识点讲解    
   · 树的定义及基本运算
 
       树的定义及基本运算
        树是n(n≥0)个节点的有限集合,n=0时称为空树,在任一非空树中:
        (1)有且仅有一个称为根的节点。
        (2)其余的节点可分为m(m≥0)个互不相交的子集T1,T2,…,Tm,其中每个子集本身又是一棵树,并称其为根节点的子树。
        树的递归定义表明了树的固有特性,也就是一棵树由若干棵子树构成,而子树又由更小的子树构成。
        树中的基本概念如下。
        (1)双亲和孩子。节点的子树的根称为该节点的孩子;该节点称为其子节点的双亲。
        (2)兄弟。具有相同双亲的节点互为兄弟。
        (3)节点的度。一个节点的子树的个数记为该节点的度。
        (4)叶子节点。也称为终端节点,指度为零的节点。
        (5)内部节点。度不为零的节点称为分支节点或非终端节点。除根节点之外,分支节点也称为内部节点。
        (6)节点的层次。根为第一层,根的孩子为第二层,以此类推。
        (7)树的高度。一棵树的最大层次数记为树的高度(或深度)。
        (8)有序(无序)树。若将树中的节点的各子树看成是从左到右具有次序的,即不能交换,则称该树为有序树;否则称为无序树。
        (9)森林。是m(m≥0)棵互不相交的树的集合。
   题号导航      2019年下半年 软件设计师 上午试卷 综合知识   本试卷我的完整做题情况  
1 /
2 /
3 /
4 /
5 /
6 /
7 /
8 /
9 /
10 /
11 /
12 /
13 /
14 /
15 /
 
16 /
17 /
18 /
19 /
20 /
21 /
22 /
23 /
24 /
25 /
26 /
27 /
28 /
29 /
30 /
 
31 /
32 /
33 /
34 /
35 /
36 /
37 /
38 /
39 /
40 /
41 /
42 /
43 /
44 /
45 /
 
46 /
47 /
48 /
49 /
50 /
51 /
52 /
53 /
54 /
55 /
56 /
57 /
58 /
59 /
60 /
 
61 /
62 /
63 /
64 /
65 /
66 /
67 /
68 /
69 /
70 /
71 /
72 /
73 /
74 /
75 /
 
第59题    在手机中做本题