免费智能真题库 > 历年试卷 > 网络工程师 > 2009年上半年 网络工程师 上午试卷 综合知识
  第4题      
  知识点:   指令
  关键词:   指令流水线   流水线   指令        章/节:   计算机硬件知识       

 
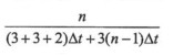
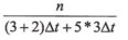
指令流水线由5段组成,第1、3、5段所需时间为△t,第2、4段所需时间分别为3△t、2△t,如下图所示,那么连续输入n条指令时的吞吐率(单位时间内执行的指令个数)TP为(4),
 
 
  A. 
 
  B. 
 
  C. 
 
  D. 
 
 
 

  相关试题:计算机硬件知识          更多>  
 
  第1题    2017年下半年  
   22%
在程序的执行过程中,Cache与主存的地址映射是由( )完成的。
  第42题    2024年下半年  
   0%
CRC是链路层常用的检错码,若生成多项式为X5+X3+1,传输数据10101110,得到的CRC校验码是( )。
  第2题    2017年下半年  
   24%
某四级指令流水线分别完成取指、取数、运算、保存结果四步操作。若完成上述操作的时间依次为8ns、9ns、4ns、8ns,则该流水线的操..
   知识点讲解    
   · 指令
 
       指令
        指令是指挥计算机完成各种操作的基本命令。
        (1)指令格式。计算机的指令由操作码字段和操作数字段两部分组成。
        (2)指令长度。指令长度有固定长度的和可变长度的两种。有些RISC的指令是固定长度的,但目前多数计算机系统的指令是可变长度的。指令长度通常取8的倍数。
        (3)指令种类。指令有数据传送指令、算术运算指令、位运算指令、程序流程控制指令、串操作指令、处理器控制指令等类型。
   题号导航      2009年上半年 网络工程师 上午试卷 综合知识   本试卷我的完整做题情况  
1 /
2 /
3 /
4 /
5 /
6 /
7 /
8 /
9 /
10 /
11 /
12 /
13 /
14 /
15 /
 
16 /
17 /
18 /
19 /
20 /
21 /
22 /
23 /
24 /
25 /
26 /
27 /
28 /
29 /
30 /
 
31 /
32 /
33 /
34 /
35 /
36 /
37 /
38 /
39 /
40 /
41 /
42 /
43 /
44 /
45 /
 
46 /
47 /
48 /
49 /
50 /
51 /
52 /
53 /
54 /
55 /
56 /
57 /
58 /
59 /
60 /
 
61 /
62 /
63 /
64 /
65 /
66 /
67 /
68 /
69 /
70 /
71 /
72 /
73 /
74 /
75 /
 
第4题    在手机中做本题